Register
|
Login
WBXPress
West Bengal Government Notification
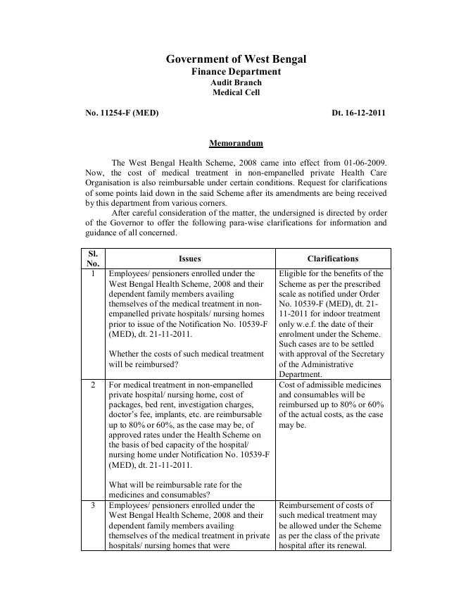
Clarifications on West Bengal Health Scheme, 2008 – PDF
🔒
Full PDF
(76.10 KB),
View Text Article