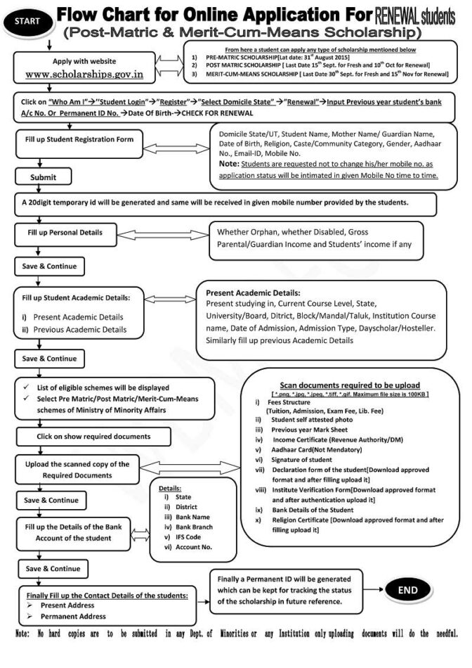
Online Application for renewal of Post-Matric and Merit-cum-Means Scholarship from www.scholarships.gov.in. Please note that No hard copies are to be submitted in any Department of Minorities or any Institutions. Only uploading documents will do the needful.
Renew Scholarship at www.scholarships.gov.in
Department: Madrasah Education
Subject: Scholarship
Online Application for renewal of Post-Matric and Merit-cum-Means Scholarship from www.scholarships.gov.in. No hard copies are to be submitted.
