Register
|
Login
WBXPress
West Bengal Government Notification
About
Tools
Schemes
Popular
Forums
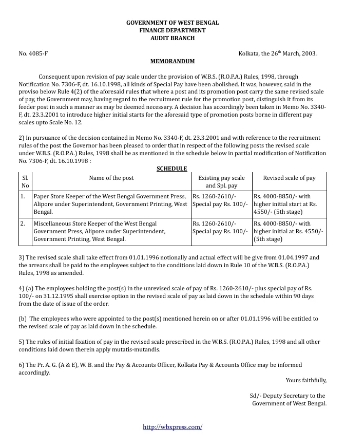
Revised Scale of Pay of Storekeeper (Government Press) – PDF
Home
›
Department
›
Finance
›
Revised Scale of Pay of Storekeeper (Government Press) – PDF
🔒
Full PDF
(53.03 KB),
View Text Article